
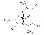
Tris (1-chloro-2-propyl) phosphate (TCPP)Tris (1-chloro-2-propyl) phosphate Specification
Tris (1-chloro-2-propyl) phosphate Physical And Chemical Properties
Tris (1-chloro-2-propyl) phosphate Application
|
" Instant assistance and professional support are what SinoHarvest is distinctive from the other agrochemical manufacturers and suppliers that we have been doing business with for more than 15 years.
"
Chris Clock |
| HomeCompanyNewsProductsServiceFAQContact Packing Sitemap | © 2016 SinoHarvest agrochemical manufacturer in China |
| effective Web site developed by creARTive |